K8凯发国际

西南西北销售

华北东北销售

华南华中销售

华东销售

在线客服
网站导航

不同过渡热沉封装微盘腔半导体激光器热分析

2022-08-30 14:36:25 知识库 5143

转自《半导体光电》2021年12月第42卷第6期

岳云震, 晏长岭* , 杨静航, 逄 超, 冯 源, 郝永芹, 钱 冉, 孙立奇

摘 要: 为了降低微盘腔半导体激光器工作时有源区的温度,提升封装的可靠性,基于Ansys Workbench有限元分析分别对AlN,WCu10,SiC,石墨烯,以及CVD金刚石过渡热沉封装的蜗线型微盘腔半导体激光器进行了热特性分析,得到了器件工作时的温度分布以及热应力、热应变分布。结果显示,SiC 封装器件的有源区温度较AlN 和WCu10封装器件分别降低了2.18,3.078℃,并在五种过渡热沉封装器件中表现出最低的热应力,器件热应变最小。SiC过渡热沉封装可以有效降低微盘腔半导体激光器工作时的有源区温度,同时减少封装应力与器件应变,从而提高器件的散热能力和可靠性。计算结果对半导体激光器单管散热及阵列集成散热均有指导意义。

0 引言 

微盘腔半导体激光器是指谐振腔尺寸在光波长量级并且结构为圆盘形的一类半导体激光器,具有几何形状简单、体积小、阈值低、品质因子(Q)高等特点[1-2],在滤波器、传感器、探测器等领域有着极为广泛的应用[3-4]。半导体激光器工作时产生大量的热,若热量不能及时散去会影响器件的各项性能,如波长发生红移、阈值电流增大、功率效率减小等,严重时甚至会烧毁器件,散热封装技术是保障器件稳定工作的关键。半导体激光器散热封装研究是国内外研究人员的研究热点,现在的散热封装方式主要有倒封装、微通道散热和喷雾冷却散热等[5-7]。基于热沉传导冷却散热的全固态散热方法不仅能够有效提升器件的散热能力,而且能够有效提高器件的工作稳定性。热沉冷却散热封装一般分为初级热沉和次级热沉两部分,芯片工作时有源区产生的热量第一时间顺利获得初级热沉向外传递,再由次级热沉作为散热终端将热量全部传导到冷却介质(如空气)中。次级热沉一般指无氧铜或者其他高导材料。初级热沉又称过渡热沉,过渡热沉直接与次级热沉、芯片相连,过渡热沉材料的热导率、热膨胀系数等特性参数对器件散热能力起关键作用。为此,研究不同过渡热沉封装微盘腔半导体激光器的热特性对微盘腔半导体激光器单管散热以及阵列集成散热均有重要的指导意义。本文利用AnsysWorkbench有限元分析软件,模拟得到了五种不同过渡热沉封装的InP基蜗线型微盘腔半导体激光器在稳定工作状态下的温度分布以及热应力、热应变分布,得到半导体微盘腔激光器散热封装较为理想的过渡热沉材料。

 

1 模型建立

蜗线型微盘腔半导体激光器是在微盘腔半导体激光器的基础上将微盘腔的对称结构加以改造得到的一种变形微腔半导体激光器[8],这种蜗线型微腔结构在实现了定向出光的同时兼具极高的品质因子而备受关注。其微腔边界曲线在极坐标下可表示为

R(θ)=R0(1+εcosθ)                        (1)

其中,R0为器件的特征半径,ε为蜗线形腔的形变因子。本文模拟的蜗线型微盘腔特征半径为150μm,形变因子为0.42。这种结构具有较好的定向输出特性,在0°角方向有明显的主瓣光输出。芯片结构自上而下分别为上电极、欧姆接触层、上波导、有源区、下波导、衬底和下电极,如图1所示。材料结构为InP基InGaAs/InAlAs量子阱材料,激射波长约为10μm。

受到量子级联材料的制约,激光器的电光转换效率极低,工作时注入的电能大部分都转换成了热量,半导体激光器工作过程中产生的废热大致可以分为以下两种[9]。

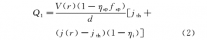
(1)当注入电流高于激光器阈值电流时,有源区内大量的电子和空穴进行辐射复合产生激光,但同时也存在着少量载流子的非辐射复合、有源区材料的辐射吸收以及自发辐射吸收等能量损耗而产生废热。这部分热量称为自产热,用Q1表示:

其中,V(r)表示材料两侧的电压差值,d是有源区的厚度,ηsp是自发辐射时的量子转换效率,fsp是光子的逃逸因子,jth是阈值电流密度,j(r)是注入电流密度,ηi是受激辐射时的量子转换效率。

 

(2)电流顺利获得时产生的焦耳热,用Q2表示:

Q2=j2(r)ρ                              (3)

其中,j(r)是注入电流密度,ρ代表各层材料的电阻率。在电流注入过程中,除有源层外,欧姆接触层、波导层、限制层和衬底层产生的热量均为焦耳热。

图1芯片结构示意图

Q1,Q2这两部分热量主要顺利获得热传导、热对流的方式向外排出,几乎没有热辐射的作用。芯片产生的热量第一时间顺利获得热传导方式先后传递到过渡热沉与次级热沉,再顺利获得热对流方式传递到冷却介质(如空气)中。本文模拟的蜗线型微盘腔半导体激光器采用C-Mount正封装,如图2所示。次级热沉选择高热导率、高硬度且价格相对低廉的无氧铜,在它的中心位置有螺孔,其优点是便于激光器的安装固定,结构简单。焊料选择与Cu的热膨胀系数更加匹配的AuSn焊料。为了进一步改善激光器的散热能力,提高输出功率,选择五种不同的过渡热沉分别封装微盘腔半导体激光器并进行热特性模拟。

图2微盘腔半导体激光器C-Mount正封装图

 

模拟中使用到的过渡热沉材料及其特性参数如表1所示。AlN与WCu10都具有较高的热导率,是传统的过渡热沉材料,被广泛应用于大功率激光器。SiC是天然的同质多型体,具有超高的热导率、较低的热膨胀系数,并且热稳定性高,不融化,抗腐蚀性能强[10]。石墨烯是现在热导率最高的碳材料,Balandin等[11]研究发现,单层石墨烯在室温下的热导率达到5300W·m-1·K-1,远远高于金属Cu等材料[11]。金刚石制造技术的开展降低了金刚石的成本,并因此得到了更广泛的应用,CVD金刚石是采用化学气相沉积法制备的金刚石,物理化学性质与天然金刚石基本相同,现在人造金刚石的热导率最高可以达到1800W·m-1·K-1,是Cu的4倍左右[12]。

表1过渡热沉材料及其热特性参数

 2 模拟结果分析 

温度和应力是表征半导体激光器散热封装效果的重要参数,温度越低,应力越小,器件的散热能力越强,可靠性越高。本文基于Ansys Workbench分别对AlN,WCu10,SiC,石墨烯和CVD金刚石过渡热沉封装的蜗线型微盘腔半导体激光器进行了热特性模拟,并得到了器件稳定工作时的温度分布云图、热应力分布云图,以及热应变分布云图。图3所示为温度分布结果。

可以看到,当其他因素固定不变时,如环境温度、焊料、封装方式等,微盘半导体激光器的有源区温度受过渡热沉的热导率的影响很大。石墨烯封装器件有源区温度为58.849℃,CVD金刚石为59.757℃,SiC为60.695℃,AlN陶瓷片为62.875℃,均比WCu10封装器件的63.773℃有所降低。其中WCu10封装器件与石墨烯封装器件有源区温度相差近5℃。这是由材料本身的热导率决定的,由傅里叶定律得:

R=h/KS                        (4)

其中,R为热阻,h为焊料层厚度,K为热导率,S为垂直热流方向的导热面积。当其他条件一定时,激光器的热阻与过渡热沉热导率成反比关系。过渡热沉热导率越高,激光器的热阻就越低,导热能力越强。本文模拟的五种过渡热沉中,石墨烯的热导率最高,WCu10的热导率最低,因此石墨烯、CVD金刚石、SiC、AlN陶瓷片封装相比WCu10封装都有效降低了激光器的热阻,提升了激光器的散热能力。由于芯片各层级材料热物性的差异,半导体激光器工作时不可避免地引入了热应力,而热应力是导致器件形变甚至失效的主要原因之一。因此在制备和封装时都需要考虑材料之间的热膨胀系数相匹配程度,减少热应力的作用,提高器件封装结构的可靠性。图4(a)~(c)所示依次为石墨烯、CVD金刚石、SiC封装器件的热应力分布图。可以看出热应力主要集中在过渡热沉层,石墨烯层产生的热应力约为9.3×106Pa,CVD金刚石层产生的热应力约为9.2×106Pa,SiC层产生的热应力约为4.5×106Pa。石墨烯、CVD金刚石封装器件引入了较大的热应力,这是由于石墨烯、CVD金刚石的热膨胀系数与芯片材料的热膨胀系数不匹配导致的。SiC封装器件引入的热应力只有石墨烯和CVD金刚石封装器件的一半,这说明SiC封装有效降低了微盘腔半导体激光器的热失配,提高了器件的可靠性。

图4采用不同热沉封装器件的热应力模拟结果

半导体激光器工作时,由于器件温度不断发生变化,各层级结构之间引入了不同大小的热应力,器件受到不均匀温度场和热应力的作用导致发生形变,即热应变。如图5所示为不同过渡热沉封装微盘腔半导体激光器的热应变分布的模拟结果,其中SiC封装器件热应变最小。

图5热应变模拟结果

因此,综合温度、热应力、热应变分布结果,SiC是最适合封装蜗线型微盘腔半导体激光器的过渡热沉。如图6所示为温度模拟结果,图7所示为热应力模拟结果。SiC封装微盘腔半导体激光器工作时结温为60.695℃,有源区温度较AlN陶瓷片、WCu10封装器件有明显降低。同时,SiC封装引入的热应力为4.5MPa,器件热应变为4.8×10-5,在所有过渡热沉封装中均为最低。综上,SiC封装不但提升了器件的散热能力,同时也减少了器件应变,提高了器件的可靠性,有效延长了器件的使用寿命。对于石墨烯和CVD金刚石,由于材料本身具有极高的热导率,因此可以考虑将这两种材料用于封装功率更高的半导体激光器,同时搭配软焊料In可以有效降低热应力,提高器件的散热能力。

图6温度模拟结果

图7热应力模拟结果

 

3 结论 

本文基于Ansys Workbench有限元分析对蜗线型微盘腔半导体激光器进行了热特性分析,得出了一系列对微盘腔半导体激光器散热封装有价值的数据。稳定工作状态下,半导体激光器的热特性受过渡热沉材料的热导率与热膨胀系数的影响较大。文中对比分析了AlN,WCu10,SiC,石墨烯和CVD金刚石五种过渡热沉封装器件的散热情况。SiC封装器件工作时结温为60.695℃,较传统过渡热沉AlN和WCu10封装器件的有源区温度分别降低了2.18和3.078℃。石墨烯、CVD金刚石散热效果最好,但是引入了较大的热应力,对半导体激光器的输出功率、可靠性、使用寿命会造成较大的影响。SiC封装蜗线型微盘腔半导体激光器不但有效地降低了器件工作时有源区的温度,也降低了各层级结构之间由于热膨胀系数不匹配引入的热应力及器件的热应变,增强了器件封装的可靠性,有效提高了微盘腔半导体激光器工作时的散热能力,对半导体激光器的单管散热以及阵列集成散热均有指导意义。

 

参考文献:

[1] Zhukov A E, Moiseev E I, Nadtochii A M, et al. The effect of self-heating on the modulation characteristics of a microdisk laser[J]. Technical Phys. Lett., 2020, 46(6): 515-519.

[2] 刘 云. 半导体微腔激光器散热分析及其工艺制备[D]. 长春: 长春理工大学, 2019.Liu Y. Heat dissipation analysis and technology preparation of semiconductor micro-cavity laser[D]. Changchun: Changchun University of Science and Technology, 2019.

[3] Foreman M R, Swaim J D, Vollmer F. Whispering gallery mode sensors[J]. Adv. Opt. Photonics, 2015, 7(2): 168-240.

[4] 黄永箴, 杨跃德, 王世江, 等. 适于光子集成及光互连的回音壁微腔半导体激光器[J]. 中国科学: 技术科学, 2010, 40(5): 546-551.Huang Y Z, Yang Y D, Wang S J, et al. Whispering-gallery micro cavity semiconductor lasers suitable for integrated circuits and optical interconnects[J]. SCIENCE CHINA: Technological Sciences, 2009, 52(12): 3447-3453.

[5] 倪羽茜, 井红旗, 孔金霞, 等. 碳化硅封装高功率半导体激光器散热性能研究[J]. 中国激光, 2018, 45(1): 13-17.Ni Y X, Jing H Q, Kong Jinxia, et al. Thermal performance of high-power laser diodes packaged by SiC ceramic submount[J].Chinese J. of Lasers, 2018, 45(1): 13-17.

[6] 李 秋. 高功率半导体激光器散热方法的研究[J]. 通讯世界,2020, 27(6): 9-10.Li Q. Research on heat dissipation method of high power semiconductor laser [J]. Telecom. World, 2020, 27(6): 9-10.

[7] Wang J, Shi L, Li Y, et al. Thermal management of graphene-induced high-power semiconductor laser package with bidirectional conduction structure [J]. Optics & Laser Technol., 2021, 139(5): 106927.

[8] Wiersig J, Hentschel M. Combining directional light output and ultralow loss in deformed microdisks[J]. Phys. Rev.Lett., 2008, 100(3): 033901.

[9] Camps I, González J C, Sánchez M. Calculation of the thermal resistance and temperature distribution in blue-green semiconductor lasers [J]. Semiconductor Science &Technology, 1997, 12(12): 1574.

[10] 吴胤禛, 柳 祎, 高全宝, 等. 碳化硅过渡热沉对C-mount封装激光器散热的影响[J]. 中国科技论文, 2019, 14(12):1362-1368.Wu Y Z, Liu Y, Gao Q B, et al. Effect of silicon carbide

transition heat sink on heat dissipation of C-mount package laser [J]. China Science Paper, 2019, 14(12): 1362-1368.

[11] Balandin A A, Ghosh S, Bao W, et al. Superior thermal conductivity of single-layer graphene[J]. Nano Lett., 2008,8(3): 902.

[12] 孙 芮, 房玉锁, 彭海涛, 等. 金刚石封装半导体激光器特性研究[J]. 电子制作, 2020(23): 88-90.Sun R, Fang Y S, Wang H T, et al. Study on characteristics of diamond encapsulated semiconductor laser [J]. Electronic Production, 2020(23): 88-90.

 

作者简介:

岳云震(1997-),男,辽宁省锦州市人,硕士研究生,研究方向为微盘腔半导体激光器;

晏长岭(1971-),男,吉林省长春市人,博士,研究员,研究方向为光电子学与激光技术。

 

免责申明:本文内容来源于转自《半导体光电》2021年12月第42卷第6期。文字、素材、图片版权等内容属于原作者,本站转载内容仅供大家分享学习。如果侵害了原著作人的合法权益,请及时与我们联系,我们会安排删除相关内容。

  

关键词:K8凯发国际电子、XianYi、K8凯发国际、金锡焊片、Au80Sn20焊片、低温共晶焊料、Solder Preform、芯片封装焊片供应商、芯片封装焊片生产厂家、低温钎焊片、太阳能电池片封装焊片、金锡合金焊片选型指南、预成形焊片尺寸选择、银基焊料、光伏焊带、金属外壳气密封装、共晶烧结、金锡烧结、金锡共晶烧结、共晶键合、合金焊料、预成形锡片、锡带、SMT锡片、低温锡带、激光巴条焊接、激光巴条封装、载带式预成形焊片、覆膜预成形焊片、热沉、heat sink、光电子封装、MEMS封装、IGBT焊料片、锡片、中高温焊片、IGBT焊料片、锡片、纳米焊膏、纳米银膏、微组装、微纳连接、金锡bump、激光巴条共晶、Gold Tin Alloy、Gold Tin Solder、晶振封盖、电镀金锡、锡箔、锡环、锡框、flux coating、TO-CAN共晶、共晶贴片、低温锡膏、锡膏喷印、锡铋合金、纳米银焊膏、纳米银胶、纳米银浆、烧结银浆、烧结银膏、烧结银胶、导热银膏、导热银胶、导热银浆、银烧结膏、银纳米膏、Ag sinter paste、submount、薄膜电路、无助焊剂焊片、圆环预成形焊片、方框预成形焊片、金属化光纤连接焊片、金基焊料 、金锗焊料、金硅焊料、器件封装焊料、预涂焊料盖板、预涂助焊剂、预置焊片、金锡封装、箔状焊片、预制焊锡片、预镀金锡、预涂金锡、Fluxless Solder、气密封装钎焊、陶瓷绝缘子封装、气密性封焊金锡热沉、金锡衬底、金锡焊料封装、芯片到玻璃基板贴片 (COG)、铟焊料封装、金锡薄膜、金锡合金薄膜、合金焊料、金锡焊料、Au50Cu50焊片、Au80Cu20焊片、Au焊片、Au88Ge12焊片、Au99Sb1焊片、Sn焊片、激光巴条金锡共晶焊、背金锡、预置金锡盖板、贴膜包装焊片、金锡薄膜热沉、SMT用预成形焊片、载带式预成形焊片、IGBT大功率器件封装、锡银焊料片、锡锑焊料片、中高温焊片、异形焊料片、金锡焊膏、金锡凸点、Au80Sn20、铟铅焊片、铟铅合金、锡铋焊片

 

K8凯发国际电子、xianyi、www.xthtao.com

广州K8凯发国际电子科技有限公司是先进半导体封装连接材料制造商,我们可根据客户的要求定制专业配比的金、银、铜、锡、铟等焊料合金,加工成预成型焊片,更多资讯请看www.xthtao.com,或关注微信公众号“K8凯发国际电子”。